Cách tính điểm HSA 2026 sang thang điểm 30: Bí quyết giúp đỗ thẳng Đại học Top đầu mới nhất
HSA (Đánh giá năng lực ĐHQGHN) đang trở thành tấm vé vàng để bước chân vào các trường đại học top đầu như NEU, FTU, hay Bách Khoa. Tuy nhiên, việc hiểu rõ cách quy đổi điểm số này sang thang điểm 30 truyền thống là cực kỳ quan trọng để sĩ tử 2k9 xây dựng chiến thuật xét tuyển thông minh.
Công thức quy đổi điểm HSA sang thang điểm 30 chuẩn ĐHQGHN
Hiện nay, bài thi HSA được tính trên tổng điểm 150. Để đồng bộ với phương thức xét tuyển kết hợp hoặc xét điểm thi tốt nghiệp THPT, các trường đại học thường quy đổi về thang điểm 30.
Tại VNES EDUCATION, chúng tôi nhận thấy rằng mức điểm quy đổi trên 20 (tương đương 100 điểm HSA) là ngưỡng cửa an toàn để bạn bắt đầu nộp hồ sơ vào các khối ngành hot.
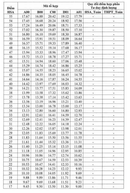
Bảng tra cứu nhanh điểm HSA sang thang điểm 10 và 30
Để giúp bạn dễ dàng định vị năng lực, hãy tham khảo bảng quy đổi nhanh dưới đây



Phổ điểm HSA 2025: Dự đoán bao nhiêu điểm là vùng an toàn cho 2k8?

Năm 2026 là năm có nhiều thay đổi về cấu trúc đề thi để bám sát chương trình mới. Theo các chuyên gia tại VNES EDUCATION phổ điểm dự kiến sẽ có sự phân hóa mạnh ở phần Tư duy định lượng.
Dưới 75 điểm: Mức điểm này khá khó để xét tuyển vào các trường công lập top giữa. Bạn nên ôn tập lại kiến thức hổng và luyện thêm đề thi mẫu HSA để cải thiện điểm số.
Từ 85 - 100 điểm: Đây là mức điểm phổ biến. Bạn có cơ hội đỗ vào nhiều trường Đại học lớn nếu kết hợp với học bạ tốt.
Trên 110 điểm: Đây là mức điểm mơ ước, giúp bạn gần như nắm chắc suất tuyển thẳng vào các ngành cạnh tranh nhất.
Chinh phục 100+ điểm HSA cùng VNES EDUCATION TỪ KINH NGHIỆM 2k7, 2k8 MANG ĐẾN 2K9
Để đạt mức điểm quy đổi cao, bạn không chỉ cần kiến thức mà cần cả mẹo làm bài và chiến thuật phân bổ thời gian. VNES EDUCATION tự hào là đơn vị đồng hành cùng hàng ngàn sĩ tử với:
Ngân hàng đề thi mẫu HSA cập nhật mới nhất theo chương trình 2026.
Lộ trình học cá nhân hóa, tập trung vào các dạng bài hay xuất hiện trong đề thi thực tế.
Đội ngũ giáo viên giàu kinh nghiệm, nắm bắt nhanh các thay đổi từ Trung tâm Khảo thí ĐHQGHN.
Việc nắm vững cách tính điểm HSA sẽ giúp bạn có cái nhìn tổng quan về vị thế của mình trong cuộc đua vào đại học. Hãy bắt đầu ôn luyện ngay hôm nay để biến con số trên giấy thành tấm vé thông hành đến tương lai!

